Tawaran Temuduga Terbuka Pegawai Bomba Bantuan (PBB), Daftar Dengan Sijil SPM
Berminat nak jadi salah seorang anggota Pegawai Bomba Bantuan di bawah Jabatan Bomba Dan Penyelamat Malaysia Negeri Sembilan? Lepasan SPM dan warganegara berumur 18 tahun ke atas dipelawa untuk sertai temuduga terbuka bagi pengambilan Pegawai Bomba Bantuan (PBB) yang bakal berlangsung. Tawaran pengambilan Pegawai Bomba Bantuan melalui temuduga terbuka ini adalah bagi kemasukan segera 2022.
Sekiranya anda berminat nak sertai temuduga terbuka bagi pengambilan Pegawai Bomba Bantuan, pastikan anda hadir ke lokasi pada tarikh dan masa ditetapkan dengan lengkap berpakaian ditetapkan serta kemas.
Ikuti perkongsian di bawah untuk maklumat lanjut jawatan ditawarkan dan maklumat temuduga terbuka.
MAKLUMAT TEMUDUGA
Individu yang berkelayakan dan berminat boleh hadir ke temuduga terbuka seperti berikut:
- Majikan: Jabatan Bomba dan Penyelamat Malaysia Negeri Sembilan
- Jawatan: Pegawai Bomba Bantuan (PBB) Siri 2/2022
- Tarikh temuduga: 1 Ogos 2022 hingga 3 Ogos 2022
- Tempat Temuduga Ujian Fizikal: Balai Bomba dan Penyelamat Seremban 2
LOKASI KEKOSONGAN
Tawaran jawatan adalah bagi penempatan di Balai Bomba dan Penyelamat Berikut:
- Balai Bomba dan Penyelamat Rembau
- Balai Bomba dan Penyelamat Gemencheh
- Balai Bomba dan Penyelamat Bahau
- Balai Bomba dan Penyelamat Simpang Partang
- Balai Bomba dan Penyelamat Ampangan
- Balai Bomba dan Penyelamat Gemas
- Balai Bomba dan Penyelamat Seri Menanti
- Balai Bomba dan Penyelamat Kota
FAEDAH DITAWARKAN
Antara faedah ditawarkan kepada calon yang berjaya mendapat penempatan jawatan Pegawai Bomba Bantuan adalah:
- Bertugas Shift 12 jam
- Bayaran elaun bertugas adalah RM8 sejam
- Pakaian Seragam diberikan
- Perlindungan insurans
SYARAT PELANTIKAN
Tawaran temuduga terbuka bagi pelantikan Jawatan Pegawai Bomba Bantuan (PBB) adalah terbuka kepada calon yang memenuhi syarat lantikan berikut:
- Keutamaan kepada warganegara Malaysia dan menetap/ tinggal di Negeri Sembilan
- Bukan anggota Angkatan Tentera Malaysia atau mana-mana pasukan atau skim sukarelawan yang ditubuhkan di bawah mana-mana undang-undang bertulis
- Bukan dari pesara kerajaan atau bekas anggota pasukan beruniform
- Bukan dari bekas anggota PBB yang telah berhenti dari perkhidmatannya atau diberhentikan
- Lelaki sahaja
- Berumur tidak kurang dari 18 tahun dan 35 tahun dan tidak melebihi pada tarikh tutup iklan jawatan
- Memiliki kepujian (sekurang-kurangnya Gred C) dalam subjek Bahasa Melayu pada peringkat SPM/ SVM atau kelulusan yang diiktiraf setaraf dengannya oleh Kerajaan Malaysia atau; dan SPM atau kelayakan yang diiktiraf setaraf dengannya oleh Kerajaan Malaysia atau;
- SPM atau kelayakan yang diiktiraf setaraf dengannya oleh Kerajaan Malaysia atau SKM Tahap 2 dalam bidang berkaitan atau kelayakan yang diiktiraf setaraf dengannya
- SPM atau kelayakan yang diiktiraf setaraf dengannya oleh Kerajaan Malaysia atau SKM Tahap 3 dalam bidang berkaitan atau kelayakan yang diiktiraf setaraf dengannya
- Tinggi tidak kurang daripada 1.57m
- Berat badan tidak kurang 48kg
- Mempunyai BMI diantara 19-26
- Mempunyai penglihatan/ pendengaran/ pengecaman warna yang baik
- Mempunyai tubuh badan yang sihat untuk berkhidmat dan diperakui sihat oleh pengamal perubatan yang berdaftar
- Calon hendaklah tinggal atau bekerja dalam lingkungan 25KM daripada balai
Syarat-syarat Tambahan
- Wajib memiliki Lesen Memandu yang SAH
- Sekurang-kurangnya Lesen Kelas B2
PANDUAN HADIR TEMUDUGA
Sekiranya anda berminat dengan jawatan ditawarkan dan memenuhi syarat kelayakan dinyatakan di atas, anda boleh hadir ke temuduga terbuka pada tarikh ditetapkan dengan ikut panduan berikut:
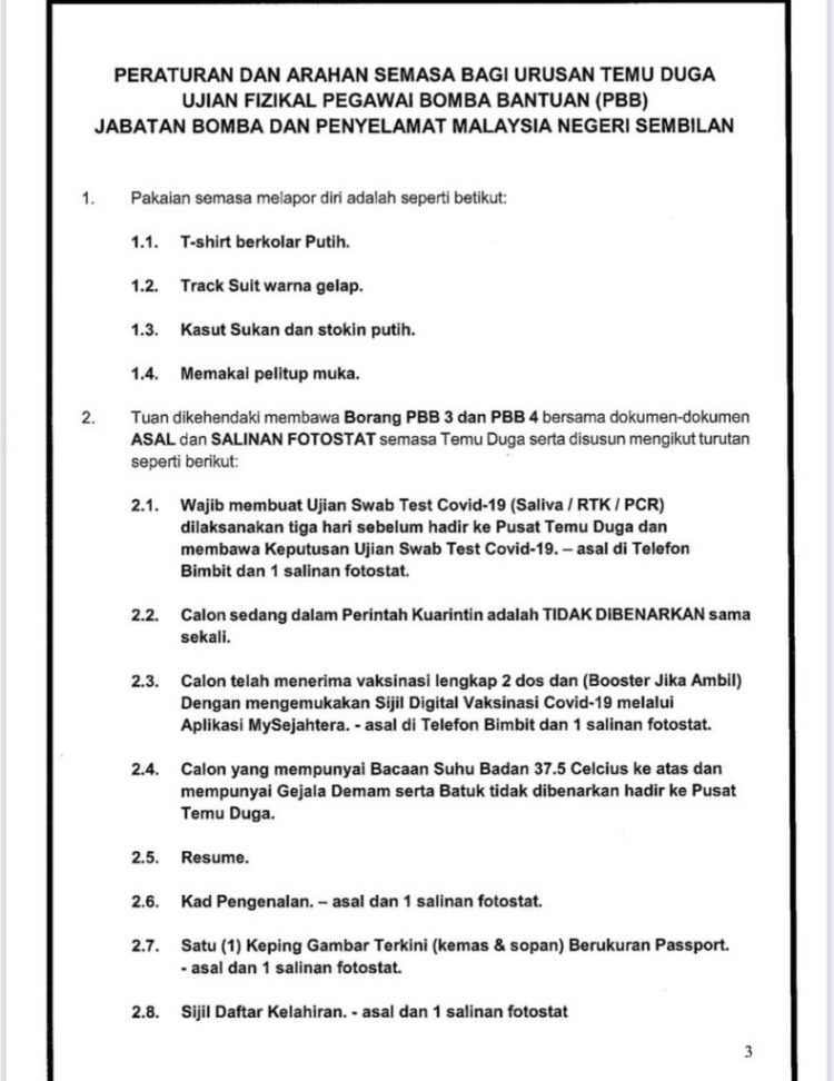
Pakaian Melapor Diri
Hadir ke lokasi dinyatakan dengan berpakaian seperti berikut:
- T-shirt berkolar Putih
- Track suit warna gelap
- Kasut sukan dan stokin putih
- Memakai pelitup muka
Susunan Borang Permohonan & Dokumen Berkaitan
Anda dikehendaki membawa Borang PBB 3 dan PBB 4 bersama dokumen-dokumen ASAL dan SALINAN FOTOSTAT semasa temuduga serta disusun mengikut turutan seperti berikut:
- Resume
- Kad Pengenalan – Asal dan 1 salinan fotostat
- 1 Keping Gambar terkini (kemas dan sopan) berukuran passport – asal dan 1 salinan fotostat
- Sijil Daftar Kelahiran – asal dan 1 salinan fotostat
- Sijil Akademik (SPM/SVM/STPM/STAM/Diploma & Transkrip) – asal dan 1 salinan fotostat
- Sijil berhenti Sekolah – asal dan 1 salinan fotostat
- Sijil-Sijil Penghargaan Pertubuhan Badan Beruniform, persatuan dan Sukan – asal dan 1 salinan fotostat
- Salinan Kad Pengenalan ibu dan bapa – asal dan 1 salinan fotostat
– Nyatakan Sijil Kematian & Kad Pengenalan waris terdekat sekiranya ibu/bapa meninggal dunia – asal dan 1 salinan fotostat
Download Borang Permohonan
Download borang permohonan berikut bagi mengikuti temuduga terbuka:
Sebarang pertanyaan lanjut berhubung urusan Temuduga ini, anda boleh hubungi PKPbB Zamrus bin Zainal, Ketua Cawangan Pengurusan PBS/PBB/ERT di talian 06 6011900 atau emel ke alamat ops_ns@yahoo.com.my.
