Universiti Teknologi MARA (UiTM) melalui Hospital Al-Sultan Abdullah UiTM, Puncak Alam dan Pusat Pakar Perubatan UiTM (PPUiTM), Sungai Buloh membuka peluang kerjaya kepada warganegara Malaysia yang berkelayakan untuk mengisi pelbagai jawatan dalam sektor perkhidmatan kesihatan.
Pengambilan ini melibatkan Kumpulan Pengurusan & Profesional serta Kumpulan Pelaksana bagi lantikan Tetap dan Kontrak merangkumi bidang perubatan pakar, pemulihan perubatan, kejururawatan, farmasi, paramedik serta sokongan hospital.
Ini bukan pengambilan biasa. Ia adalah sebahagian daripada pengukuhan tenaga kerja bagi hospital pengajar universiti yang mengendalikan pesakit sebenar serta menjadi pusat latihan pelajar perubatan dan kesihatan.
Sekiranya anda mempunyai latar belakang dalam bidang kesihatan, ini adalah peluang terbaik untuk berkhidmat di institusi kesihatan di bawah universiti awam yang mempunyai persekitaran kerja profesional, sistematik dan berorientasikan klinikal.
Senarai Jawatan Yang Ditawarkan
Kumpulan Pengurusan & Profesional
| Jawatan | Gred | Bidang |
|---|---|---|
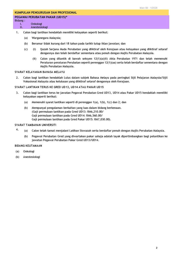
| Pegawai Perubatan Pakar | UD13 / UD14 / UD15 | Onkologi, Anestesiologi |
| Pegawai Pemulihan Perubatan | U9 | Pertuturan, Audiologi, Fisioterapi, Cara Kerja |
Kumpulan Pelaksana
| Jawatan | Gred |
|---|---|
| Penolong Pegawai Perubatan | U5 |
| Penolong Pegawai Farmasi | U5 |
| Jurupulih Perubatan (Cara Kerja) | U5 |
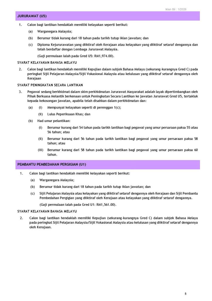
| Jururawat | U5 |
| Pembantu Pembedahan Pergigian | U1 |
| Pembantu Khidmat Am (Pemandu) | H1 |
Penempatan Jawatan
- Hospital Al-Sultan Abdullah UiTM, Puncak Alam
- PPUiTM, Sungai Buloh
Tarikh Penting Permohonan
- Permohonan dibuka: 4 Februari 2026
- Tarikh tutup: 18 Februari 2026 (Rabu)







Cara Membuat Permohonan
Permohonan hendaklah dibuat secara dalam talian melalui portal rasmi UiTM:
Langkah permohonan:
- Daftar akaun dan log masuk
- Lengkapkan maklumat yang diperlukan
- Pilih jawatan yang dipohon
- Bayaran permohonan RM10 melalui UiTMPay
- Hantar sebelum tarikh tutup
Kelayakan Umum
- Warganegara Malaysia berumur 18 tahun ke atas
- Kepujian Bahasa Melayu
- Kelayakan akademik mengikut skim perkhidmatan
- Pendaftaran badan profesional (jika berkaitan)
- Lesen atau sijil khas bagi jawatan tertentu
Kepentingan Pengambilan Ini
Pengambilan ini melibatkan jawatan sebenar dalam operasi hospital yang:
- Mengendalikan rawatan pesakit
- Menjadi pusat latihan pelajar kesihatan
- Memerlukan kepakaran klinikal pelbagai disiplin
Pengalaman bekerja di hospital UiTM memberikan nilai yang tinggi dalam pembangunan kerjaya jangka panjang dalam sektor kesihatan.
Contoh Soalan Temuduga & Jawapan
Soalan: Mengapa anda ingin berkhidmat di hospital UiTM?
Jawapan: Hospital UiTM merupakan hospital pengajar yang menggabungkan perkhidmatan klinikal dan pendidikan. Saya ingin menyumbang kepakaran saya dalam persekitaran profesional yang memberi impak kepada pesakit dan pelajar.
Soalan: Bagaimana anda mengendalikan tekanan semasa bertugas?
Jawapan: Saya mengutamakan pematuhan SOP, komunikasi jelas dengan pasukan dan memberi fokus kepada keperluan pesakit.
Soalan: Apakah kekuatan utama anda dalam bidang ini?
Jawapan: Disiplin tinggi, empati terhadap pesakit dan keupayaan bekerja dalam pasukan multidisiplin.
Penutup
Bagi anda yang berada dalam bidang perubatan, allied health, kejururawatan, farmasi atau sokongan hospital, ini adalah peluang terbaik untuk menyertai hospital UiTM secara rasmi.
Pastikan permohonan dibuat sebelum 18 Februari 2026 melalui portal rasmi UiTM.