Universiti Kebangsaan Malaysia (UKM) melalui Pusat Pengurusan Makmal Alami dan Fizikal UKM (ALAF-UKM) kini membuka peluang kerjaya kepada warganegara Malaysia yang berkelayakan untuk mengisi beberapa kekosongan jawatan kontrak di UKM Bangi, Selangor.
Pengambilan ini melibatkan dua jawatan dalam bidang makmal penyelidikan iaitu Penolong Pegawai Sains Gred C5 dan Pembantu Makmal Gred C1. Kedua-dua jawatan ini memainkan peranan penting dalam menyokong aktiviti penyelidikan, pengendalian instrumen makmal serta pengurusan bahan dan sampel ujian di UKM.
Bagi calon yang mempunyai latar belakang dalam bidang sains, teknologi makmal atau mikrobiologi, peluang ini merupakan antara laluan terbaik untuk membina kerjaya dalam persekitaran penyelidikan universiti.
Maklumat Jawatan Kosong UKM
Berikut adalah ringkasan maklumat pengambilan jawatan di ALAF-UKM.
| Maklumat | Perincian |
|---|---|
| Organisasi | Universiti Kebangsaan Malaysia (UKM) |
| Bahagian | Pusat Pengurusan Makmal Alami dan Fizikal (ALAF-UKM) |
| Jenis Jawatan | Kontrak |
| Lokasi | UKM Bangi, Selangor |
| Tarikh Buka Iklan | 13 Mac 2026 |
| Tarikh Tutup Permohonan | 30 Mac 2026 |
Senarai Jawatan Ditawarkan
Berikut adalah jawatan yang dibuka dalam pengambilan ini:
| Bil | Jawatan | Gred | Kekosongan |
|---|---|---|---|
| 1 | Penolong Pegawai Sains | C5 | 1 |
| 2 | Pembantu Makmal | C1 | 1 |
Penempatan Jawatan
Penempatan bagi jawatan yang ditawarkan adalah di makmal penyelidikan UKM seperti berikut:
| Jawatan | Lokasi |
|---|---|
| Penolong Pegawai Sains C5 | Makmal i-CRIM, UKM Bangi |
| Pembantu Makmal C1 | Makmal Bioserasi, UKM Bangi |
Jadual Gaji dan Elaun
Penolong Pegawai Sains Gred C5
| Komponen | Amaun |
|---|---|
| Gaji Minimum | RM1,650 |
| Gaji Maksimum | RM6,620 |
| Kenaikan Gaji Tahunan | RM145 |
Elaun
- Imbuhan Tetap Perumahan: RM300
- Imbuhan Tetap Khidmat Awam: RM160
- Bantuan Sara Hidup: RM350
Pembantu Makmal Gred C1
| Komponen | Amaun |
|---|---|
| Gaji Minimum | RM1,500 |
| Gaji Maksimum | RM4,680 |
| Kenaikan Gaji Tahunan | RM100 |
Elaun
- Imbuhan Tetap Perumahan: RM300
- Imbuhan Tetap Khidmat Awam: RM115
- Bantuan Sara Hidup: RM300
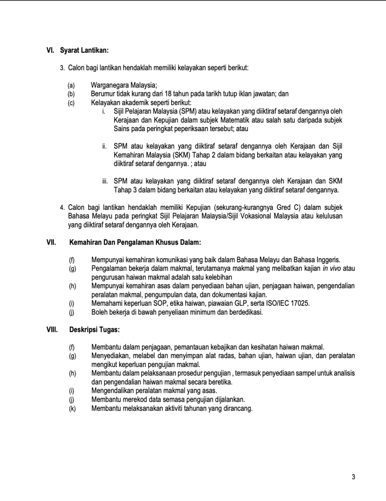
Syarat Kelayakan Permohonan
Calon yang berminat perlu memenuhi syarat asas berikut:
1. Kewarganegaraan
- Warganegara Malaysia
2. Umur
- Berumur 18 tahun ke atas pada tarikh tutup permohonan
Kelayakan Akademik
Penolong Pegawai Sains C5
Antara kelayakan yang diterima:
- STPM dalam bidang Sains
- Matrikulasi dalam jurusan Sains
- Diploma Sains
- Diploma Teknologi Makmal Perubatan
- Diploma Kimia Industri
- Diploma Mikrobiologi
- Diploma Kemahiran Malaysia berkaitan
Pembantu Makmal C1
Kelayakan minimum:
- SPM dengan kepujian Matematik atau Sains
atau
- SPM + Sijil Kemahiran Malaysia Tahap 2
atau
- SPM + Sijil Kemahiran Malaysia Tahap 3
Kemahiran Yang Diperlukan
Antara kemahiran yang menjadi kelebihan kepada calon:
- kemahiran komunikasi dalam Bahasa Melayu dan Bahasa Inggeris
- pengalaman mengendalikan peralatan makmal
- kemahiran pengurusan inventori makmal
- pengetahuan tentang SOP makmal
- pengalaman dalam penyediaan sampel penyelidikan




Deskripsi Tugas
Penolong Pegawai Sains
Antara tugas utama:
- mengendalikan instrumen Transmission Electron Microscope (TEM)
- menyediakan sampel untuk analisis
- mengurus penggunaan instrumen makmal
- membantu aktiviti penyelidikan makmal
Pembantu Makmal
Antara tugas utama:
- menyediakan bahan ujian makmal
- mengendalikan peralatan makmal asas
- merekod data penyelidikan
- membantu pengurusan sampel dan bahan ujian
- membantu aktiviti penyelidikan makmal
Cara Memohon Jawatan
Permohonan perlu dihantar melalui Google Form rasmi dengan menyertakan:
- latar diri lengkap
- sijil akademik
- dokumen sokongan yang telah disahkan
Pautan permohonan
Penolong Pegawai Sains
https://forms.gle/rqxv3Wh7dvMpbGUj8
Pembantu Makmal
https://forms.gle/wf63B5FJBpyM8y9p6
Proses Saringan
Calon yang disenarai pendek akan:
- dipanggil menghadiri temuduga secara fizikal
- temuduga diadakan di UKM Bangi, Selangor
Jika tiada maklum balas selepas 3 bulan, permohonan dianggap tidak berjaya.
Contoh CV Untuk Jawatan Penolong Pegawai Sains / Pembantu Makmal
Berikut contoh ringkas CV yang sesuai untuk memohon jawatan makmal di UKM.
Contoh CV
Nama:
Muhammad Amir Hakim
No Telefon:
012-3456789
Email:
amirhakim@email.com
Alamat:
Bangi, Selangor
Objektif Kerjaya
Berhasrat untuk menyumbang kepakaran dalam bidang sains makmal serta menyokong aktiviti penyelidikan di Universiti Kebangsaan Malaysia melalui pengendalian instrumen makmal dan penyediaan sampel analisis secara profesional.
Pendidikan
Diploma Sains (Mikrobiologi)
Politeknik Sultan Idris Shah
Kemahiran
- Pengendalian peralatan makmal
- Penyediaan sampel makmal
- Pengurusan bahan kimia
- Dokumentasi makmal
- Microsoft Office
Pengalaman
Pembantu Makmal Praktikal
Makmal Penyelidikan Universiti
- membantu penyediaan sampel makmal
- merekod data eksperimen
- membantu penyelidik dalam analisis makmal
Kemahiran Bahasa
Bahasa Melayu – Fasih
Bahasa Inggeris – Baik
Penutup
Pengambilan jawatan di Pusat Pengurusan Makmal Alami dan Fizikal UKM (ALAF-UKM) ini merupakan peluang baik kepada graduan sains atau calon yang mempunyai pengalaman makmal untuk membina kerjaya dalam bidang penyelidikan universiti.
Dua jawatan yang dibuka iaitu Penolong Pegawai Sains C5 dan Pembantu Makmal C1 menawarkan gaji sehingga RM6,620 serta elaun tetap kerajaan.
Calon yang berminat perlu menghantar permohonan sebelum 30 Mac 2026 melalui pautan Google Form yang disediakan.


